cad画一个圆与另两圆内切、外切
CAD是强大的画图软件,功能非常的多样化。在CAD中圆与圆之间的外切,内接对新手来说可能有点复杂,今天小编就给大家讲解一下具体的步骤。
方法/步骤
1.我们在绘制存在两个切点的公切圆的时候,选择圆工具,如图所示,可以看出圆工具提供了两种画公切圆的方法。

2.如果我们已经知道公切圆半径时,可以直接使用切点、切点、半径的方法,绘制公切圆。
输入c,空格,t,空格,分别在两个圆大概的切点位置点击一下,再输入公切圆半径,空格,绘制出公切圆。如图所示。



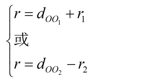
3.如果我们只知道公切圆圆心位置,需要先算出公切圆半径。再重复第2步的过程,绘制公切圆,

在上方的菜单栏,选择标注-对齐,调用对齐标注工具,点击公切圆圆心和内切圆圆心,空格,标注出两圆心之间的距离d(OO1)。重复,标注出公切圆圆心和外切圆圆心之间的距离d(OO2)。


根据d(OO1)或d(OO2)计算出公切圆半径r,重复第2步的过程绘制出公切圆。

效果如下:完成。

其实圆与圆之间的外切和内接还有很多种情况,需要我们更加深入的学习。掌握不同条件下的绘制方法,对我们学习CAD非常的有帮助。
推荐阅读:模具CAD
推荐阅读:luck官网下载安卓
· 全国金奖大满贯选手 | 一名机械专业职校生的坚持2025-11-26
· luck18网址+生态再结硕果,与高佳科技达成战略合作,赋能流程工业自主创新2025-11-26
· “xelega软件工程师(xelega3D)”认证全球首发,推动制造业3D人才能力体系升级2025-11-25
· 硬核设计!中国力量正在向上2025-11-21
· 数字赋能 · 智造引领丨xelega潍坊制造业数字化转型专题沙龙成功举办2025-11-13
· xelega软件出席通明湖信创论坛,以自主核心技术驱动新型工业化发展2025-11-12
· 战略合作丨浙江华展×xelega软件,打造建筑设计行业数字化转型最佳实践2025-11-04
·玩趣3D:如何应用xelega3D,快速设计基站天线传动螺杆?2022-02-10
·趣玩3D:使用xelega3D设计车顶帐篷,为户外休闲增添新装备2021-11-25
·现代与历史的碰撞:阿根廷学生应用xelega3D,技术重现达·芬奇“飞碟”坦克原型2021-09-26
·我的珠宝人生:西班牙设计师用xelega3D设计华美珠宝2021-09-26
·9个小妙招,切换至luck18网址竟可以如此顺畅快速 2021-09-06
·原来插头是这样设计的,看完你学会了吗?2021-09-06
·玩趣3D:如何巧用xelega3D 2022新功能,设计专属相机?2021-08-10
·如何使用xelega3D 2022的CAM方案加工塑胶模具2021-06-24
·CAD怎么画一条曲线弹簧2018-12-21
·快熟学习并掌握CAD基础应用的经验总结2018-07-30
·CAD中如何绘制内接于圆的正五边形?2022-06-21
·CAD文字标注快捷键是什么?2020-02-21
·CAD通过绕轴旋转创建实体的步骤2021-02-22
·CAD中的外部参照功能和插入块的区别?2017-07-13
·CAD直角坐标系和极坐标系的区别2017-03-15
·CAD利用圆设计三角形2020-06-15




